| Energy gap | 1.12 eV |
| Energy separation (EΓL) | 4.2 eV |
| Energy spin-orbital splitting | 0.044 eV |
| Intrinsic carrier concentration | 1·1010 cm-3 |
| Intrinsic resistivity | 3.2·105Ω·cm |
| Effective conduction band density of states | 3.2·1019 cm-3 |
| Effective valence band density of states | 1.8·1019 cm-3 |
![]() |
Band structure of Si at 300 K. Eg = 1.12 eV EL = 2.0 eV EX = 1.2 eV Eso = 0.044 eV EΓ1 = 3.4 eV EΓ2 = 4.2 eV |
![]() |
The temperature dependence of the intrinsic carrier concentration. (Shur [1990]). |
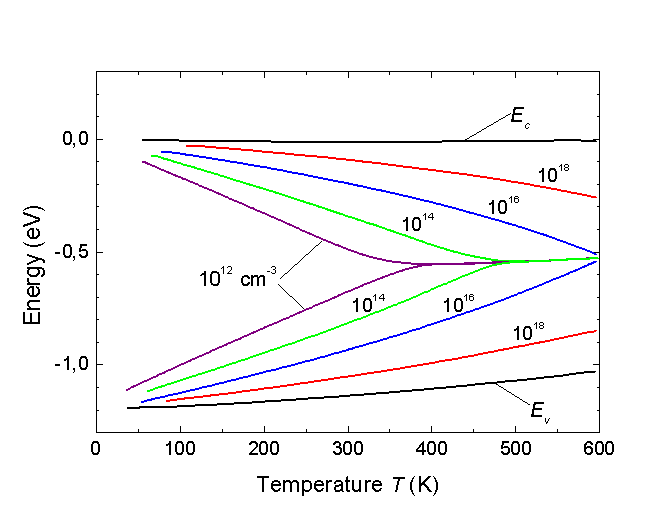
![]() |
Fermi level versus temperature for different concentrations of shallow donors and acceptors. (Grove [1967]). |
![]() |
Electrical and optical energy gap narrowing versus donor doping density. (Van Overstaeten and Mertens [1987]). |
| Electrons: | |
| The surfaces of equal energy are ellipsoids. | |
| ml= 0.98mo | |
| mt= 0.19mo | |
| Effective mass of density of states | mc = 0.36mo |
| There are 6 equivalent valleys in the conduction band. | |
| mcc= 0.26mo | |
| Holes: | |
| Heavy | mh = 0.49mo |
| Light | mlp = 0.16mo |
| Split-off band | mso = 0.24mo |
| Effective mass of density of states | mv = 0.81mo |
| As | P | Sb |
| 0.054 | 0.045 | 0.043 |
| Al | B | Ga | In |
| 0.072 | 0.045 | 0.074 | 0.157 |
| Impurity | Type | Position in the Forbidden group |
σn (cm2) | σp(cm2) |
| Au | d | Ev+ 0.35 eV | 10-15 | 3.5·10-15 |
| a | Ec- 0.55 eV | 8·10-17 | 9.0·10-15 | |
| Cu | d | Ev+ 0.24 eV | 3.5·10-20 | |
| a | Ev+ 0.37 eV | |||
| a | Ev+ 0.52 eV | |||
| Fe | d | Ev+ 0.39 eV | 2.0·10-17 | |
| Ni | a | Ec- 0.35 eV | 7·10-12 | |
| a | Ev+ 0.23 eV | |||
| Pt | d | Ev+ 0.32 eV | 5·10-14 | ~ 10-15 |
| a | Ev+ 0.36 eV | |||
| a | Ec- 0.25 eV | |||
| Zn | a | Ev+ 0.32 eV | 10-15 | 10-13 |
| a | Ec- 0.5 eV | 10-19 | 10-13 |