Si - Silicon

Optical properties

Index of refraction 3.42
Radiative recombination coefficient 1.1·10-14 cm3/s

Infrared refractive index

for 77K < T < 400 K n = 3.38(1 + 3.9·10-5·T)
for T = 300 K n = 3. 42


Refractive index n versus photon energy.
T = 300 K. (Philipp and Taft [1960]).
Experimental (dashed line) and theoretical (solid line) values of reflectance versus photon energy for Si.
(Chelikowsky and Cohen [1976]).
Low-level absorption spectrum of high purity Si at various temperatures.
(Macfarlane et al. [1959]).
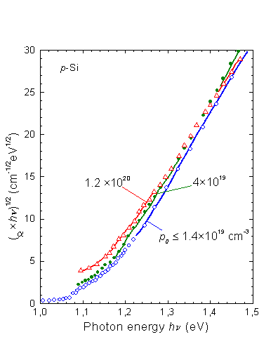
Intrinsic absorption edge at different doping levels.
T = 300 K. (Woltson and Subashiev [1967]).

A ground state Rydberg energy Ro = 14.7 meV.

Intrinsic absorption edge at different doping levels.
T = 300 K. (Woltson and Subashiev [1967]).
The absorption coefficient versus photon energy at different temperatures.
1. and 2. - (Sze [1981]);
3. - (Jellison and Modine [1982]).
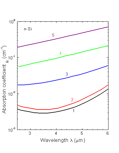
Free carrier absorption versus wavelength at different doping levels (n-Si). 300 K.
Conduction electron concentrations are:
1. 1.4·1016 cm-3,
2. 8·1016 cm-3,
3. 1.7·1017 cm-3,
4. 3.2·1017 cm-3,
5. 6.1·1018 cm-3,
6. 1·1019 cm-3.
(Spitzer and Fan [1957]).
At 300 K for λ ≥ 5µm,
       αn = 10-18·no·λ2
(Schroeder et al. [1978]).
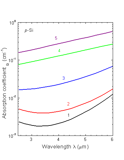
Free carrier absorption versus wavelength at different doping levels (p-Si). 300 K.
Hole concentrations are
1. 4.6·1017 cm-3;
2. 1.4·1018 cm-3;
3. 2.5·1018 cm-3;
4. 1.68·1019cm-3.
(Hara and Nishi [1996]).
At 300 K for λ ≥ 5µm,
       αp≈ 2.7·10-18·po·λ2
(Schroeder et al. [1978]).
Free carrier absorption versus wavelength for high purity Si at different temperatures.
Temperatures are 1. 300 K; 2. 473 K; 3. 573 K; 4. 623 K; 5. 673 K.
(Runyan [1966]).
Free carrier absorption versus wavelength for high purity Si at different temperatures.
Temperatures are 1. 300 K; 2. 473 K; 3. 573 K; 4. 623 K; 5. 673 K.
(Runyan [1966]).